حيث خصصت هذه الدورة للطلبة الراغبين بتحسين معدلاتهم والطلبة الذين لم يحالفهم الحظ في النجاح بهذه المادة في الدورة الأولى.
اختبار الرياضيات للتوجيهي الدورة الثانية الاكمال والتحسين 2023
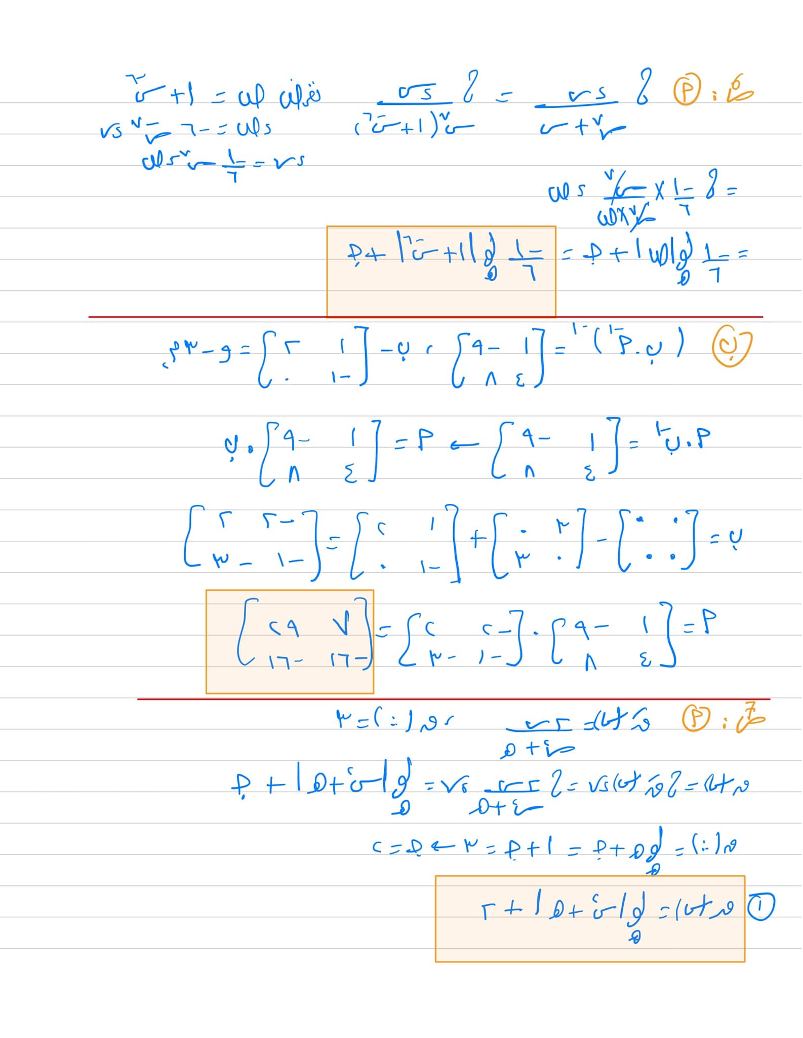
نقدم لكم من خلال موقع المنهاج الفلسطيني نسخةً من امتحان الرياضيات التحسين والإكمال دورة 2 جلسة 2 من أجل الاطلاع على الأسئلة والاستفادة منها في العام القادم.اختبار الرياضيات دورة الإكمال والتحسين الجلسة الثانية 2023 توجيهي فلسطين للفرع العلمي فقط.
امتحان الرياضيات الجلسة 2 علمي 2024 (عرض)
أسئلة امتحان الرياضيات الدورة الثانية 2023 الجلسة الثانية
إجابة وحل امتحان الرياضيات ادورة الإكمال والتحسين 2023
امتحانات الدورة الثانية والدورة الأولى والسنوات توجيهي فلسطين
- يمكنكم الوصول الى كل امتحانات الدورة الثانية في باقي المواد والفروع من خلال الضغط هنا.
- ويمكنكم الاطلاع على باقي الامتحانات الوزارية وامتحانات الدورات الأخرى والسنوات السابقة من خلال الضغط هنا.












0 تعليقات
اكتب تعليق